Laten we er geen misverstand over bestaan: er bestaat geen gen voor levensduur. De levensduur wordt door veel meer bepaald dan door een specifiek erfelijk kenmerk. Het gaat om een verzameling aan kenmerken die uiteindelijk bepalen hoe lang een koe functioneel en productief blijft. Er zijn dus erg veel genen bij betrokken en wat die uiteindelijk laten zien wordt ook nog beïnvloed door allerlei factoren zoals de voeding, de verzorging, de huisvesting etc. (KBL-principe), van eicelvorming tot volwassenheid. De erfelijkheidsgraad is daardoor relatief laag, maar dat neemt niet weg dat voor sommige kenmerken de genetische invloed erg groot en zelfs beslissend kan zijn. Dat alles maakt het moeilijk om de levensduurkansen van een koe in te schatten. Maar hoe kun je dan toch fokken op een langere levensduur? Een belangrijk aangrijpingspunt daarvoor zijn de correlaties tussen de levensduur en bepaalde kenmerken.

De erfelijkheid van de levensduur
Wat zegt de erfelijkheidsgraad voor levensduur?
De erfelijkheidsgraad geeft aan in hoeverre het verschil in levensduur tussen koeien erfelijk wordt bepaald en dus niet hoe erfelijk de levensduur op zichzelf is. Erfelijkheidsgraden zijn doorgaans laag omdat het lang niet alleen de erfelijkheid is die bepaalt wat er gebeurt. Afhankelijk van het land wordt de erfelijkheidsgraad voor levensduur geschat op 7 tot 12%. Een van de hoogste is de erfelijkheidsgraad voor de melkproductie want daar is al decennialang gericht op gefokt. Ook kenmerken in de bouw zoals de hoogtemaat hebben een relatief hoge erfelijkheidsgraad en is dat bijvoorbeeld het achterliggende principe van de aAa-methode om een functionele koe te fokken. Maar productie en bouw worden ook mede bepaald door de voeding en huisvesting. Kijk maar eens naar de verschillen in de ontwikkeling van jongvee.
- De erfelijkheidsgraad geeft aan welk percentage van de gemeten verschillen in een kenmerken bij de dochters wordt veroorzaakt door verschillen in de genetische aanleg. Dus niet in hoeverre een kenmerk erfelijk is.
- Als er maar kleine verschillen worden gemeten voor een kenmerk wil dat nog niet zeggen dat de erfelijkheid geen grote rol kan spelen. En grote verschillen hoeven niet altijd een hoge erfelijkheidsgraad te hebben.
- De kans op succes bij het fokken op kenmerken en eigenschappen met een hoge erfelijkheidsgraad, is relatief groot, maar in de meeste gevallen is de omgevingsinvloed op de verschillen tussen dieren altijd nog groter dan 50%.

Gebruik maken van de correlaties met levensduur
Correlaties laten zien dat er een relatie bestaat tussen twee (fokwaarden voor) kenmerken. Zo is er bijvoorbeeld een sterke positieve correlatie tussen de levensduur en de kenmerken laatrijpheid en persistentie, en een positieve correlatie tussen de levensduur en uiergezondheid, klauwgezondheid en vruchtbaarheid. Met andere woorden, hoe beter de aanleg voor die kenmerken is, hoe groter de kans op een langere levensduur. Correlatie zijn geen bewijs van een oorzakelijk of causaal verband, alleen dat er een directe of indirecte relatie bestaat. Je kunt niet zeggen dat de levensduur gegarandeerd toeneemt als de uiergezondheid goed is. Wel dat de kans groter is. Hoe meer kenmerken met een positieve correlatie met levensduur een koe heeft, hoe groter de kans op een langere levensduur. Hoe sterker de correlatie, hoe groter de kans, maar uiteindelijk bepalen ook andere factoren de levensduur, waaronder de melkveehouder zelf. Door aan elk van die kenmerken een bepaald belang toe te kennen (wegingsfactor) kun je de correlatie beïnvloeden en sturing geven aan de fokrichting.
In de tabel de correlaties van fokwaarde voor levensduur met een aantal specifieke fokwaarden (Bron: NVO, 2019). De verschillen in de correlaties met laatrijpheid en laatrijpheid-NVO is het gevolg van verschil van inzicht tussen fokkerij-organisaties en de manier waarop de fokwaarden en indexen zijn berekend. Het gaat dus niet altijd om “zuivere” fokkerij maar om sturing op fokdoelen en stierkeuze. We zien de sterkste correlatie met de indexen TIP en de NVI waar de productie, celgetal, laatrijpheid en persistentie in opgenomen zijn.

Wat zeggen correlaties bij 100-tonners
Uit een analyse is gebleken dat stieren die relatief veel 100-tonners als dochter hebben, gemiddeld hogere fokwaarden hebben voor persistentie en laatrijpheid. Ze hebben beide een positieve invloed op de levensduur en zijn bovendien onderling ook nog eens sterk gecorreleerd. Maar geeft een stier met hoge fokwaarden voor persistentie en laatrijpheid ook per definitie meer 100-tonners? Dat niet, want het aantal 100-tonners uit de beste “100-tonner-stieren” bedraagt maar rond de 1% (10 op de 1000 dochters). De kans op een 100-tonner is dus klein. Ook zijn er veel meer koeien die persistent en laatrijp zijn en toch geen 100-tonner worden. Anders gezegd, de kans dat je een 100-tonner krijgt puur op basis van de fokwaarden laatrijpheid en persistentie is erg klein. Maar het kan zeker helpen om de levensduur te verlengen. Er zijn ook stieren met lagere fokwaarden voor persistentie en laatrijpheid die toch 100-tonners als dochter hebben. Er speelt dus mee mee zoals fokwaarden voor gezondheidskenmerken. Bepaalde familielijnen, bijvoorbeeld, leveren relatief veel 100-tonners terwijl verschillende stieren zijn gebruikt. En die niet allemaal even persistent en laatrijp waren. Misschien is de genetische invloed van moederskant (familielijnen) daarvoor wel belangrijker dan die van vaders kant. Hoe dan ook, de correlaties zijn zeker bruikbaar om je fokbeleid op te baseren, maar staar je niet blind op uitzonderlijke koeien.
Ook de omgevingsinvloeden bepalen wat het resultaat is
Een regel uit de genetica: fenotype= genotype + milieu. In andere woorden: wat je ziet is het resultaat van de genetische aanleg en de invloed vanuit de omgeving. In onze benadering de L en B in de KBL-cirkel. Die milieu-invloeden kunnen een grote invloed hebben. Dat begint al bij de vorming van eicellen en spermacellen. Die invloed gaat via de genen die ervoor zorgen dat bepaald processen voor groei en ontwikkeling in gang worden gezet en worden voltooid. In principe wordt elk proces bepaald door de genen, maar als de werking van de genen wordt beïnvloed wordt ook ontwikkelingsproces beïnvloed. Zoals een biestvoorziening uiteindelijk leidt tot een betere gezondheid en een goede melkgift in de eerste maanden van het kalf een positieve invloed heeft op de groeisnelheid en de productie als vaars. Bekend is ook de invloed van de voeding van de koe op de kwaliteit van de eicellen en daarmee op de gezondheid en levensduur van de nakomelingen. Denk aan de gevolgen van een negatieve energiebalans op de ontwikkeling van het embryo en op de weerstand van de koe zelf. Ook de gevolgen van hittestress voor de nakomelingen is een bekend voorbeeld. Omdat de effecten soms blijvend zijn, kunnen ze worden doorgegeven aan de volgende generatie. Hittestress in de droogstand bijvoorbeeld, blijkt negatieve gevolgen te hebben voor productie en levensduur van de nakomelingen tot een paar generaties later. Zolang er sprake is van een ontwikkelingsproces kan de omgeving invloed hebben op dat proces. Als ze eenmaal de ontwikkeling mede hebben bepaald is het onomkeerbaar geworden. Sommige genen worden zodanig “omgebouwd” dat het wordt overgeërfd. Maar de effecten zijn vaak niet direct zichtbaar en meetbaar. Daarom is het belangrijk om in alle stadia te blijven zorgen voor optimale omstandigheden. Een van de redenen van de grote verschillen tussen bedrijven, zelfs als dezelfde genetica wordt gebruikt, is dat door verschillen in de omstandigheden de invloed op de ontwikkeling ook kan verschillen. Eeneiige tweelingstieren die op verschillende KI-stations worden opgefokt kunnen dus een verschillende fokwaarde voor bepaalde kenmerken krijgen omdat die verschillen bij hun dochters zichtbaar worden.
Onderstaand een vereenvoudigd overzicht van de verschillende stadia in de ontwikkeling van eicel tot koe en de mogelijke (epigenetische) invloeden. De invloeden zijn deels onomkeerbaar en dat betekent dat ze cumuleren (stapelen). In de volwassen leeftijd zijn invloeden vaak wel omkeerbaar maar de omstandigheden waaronder de koe wordt gehouden heeft tijdens haar dracht opnieuw, via de eicellen en het embryo, invloed op de volgende generatie en neemt de invloeden tijdens haar eigen ontwikkeling daarin mee. Reden genoeg voor een optimale bedrijfsvoering in alle stadia.


Foto links. Het zijn vaak de basale kenmerken in de bouw van de koe die een grote invloed hebben op het functioneren en de levensduur. Samen met de genetische aanleg voor onder meer productie, gezondheid en vruchtbaarheid bepalen ze hoe lang een koe mee kan gaan. Selecteren op een beperkt aantal belangrijke basiskenmerken die passen bij het fokdoel op het bedrijf geeft meer vooruitgang dan selecteren op te veel kenmerken die mogelijk niet even relevant zijn omdat ze niet aansluiten bij het bedrijf.

Foto rechts. Honderdtonners op de NRM 2019. Ze komen uit verschillende provincies, van verschillende bedrijven, onder verschillende omstandigheden en uit verschillende stieren. Er is sprake van een combinatie van genetische aanleg en omgevingsinvloeden maar zelfs die kunnen niet voldoende verklaren waarom juist deze koeien 100-tonners zijn geworden.
De relatie tussen de fokwaarden en de reden van afvoer
In meerdere onderzoeken is gekeken naar de fokwaarden voor bepaalde kenmerken en hun relatie met de afvoerredenen en de levensduur. In een onderzoek naar de Vlaamse 100-tonners (2017) kwam naar voren dat die zich niet onderscheidden door hoge fokwaarden voor specifieke kenmerken. Ook uit een analyse van de levensduur van de Nederlandse melkveestapel (2013) werd geen bruikbare relatie gevonden. Uit een onderzoek naar 75-tonners (2019), waar gekeken werd naar de relatie tussen de leeftijd van de moeder en de kans dat de dochter een 75-tonner zou worden, werden geen specifieke sterke correlaties gevonden tussen fokwaarden en levensduur. Hoewel functionele kenmerken en exterieur/bouwkenmerken een belangrijke rol spelen bij de levensduur, en de kenmerken worden meegewogen in de selectie van stieren, worden de meeste koeien nog steeds afgevoerd voor de vierde lactatie. In een onderzoek in Polen is bij ruim 530.000 afgevoerde koeien uit ruim 5.000 stieren uit verschillende landen nagegaan wat de relatie was tussen bepaalde fokwaarden en de reden voor afvoer. In het onderzoek bereikte ruim 7% van de afgevoerde koeien de leeftijd van 9 lactaties. De vaders van de oudere koeien hadden hoge fokwaarden voor vruchtbaarheid en exterieurkenmerken, terwijl de fokwaarde voor levensduur gemiddeld of ondergemiddeld was. Voor een aantal stieren gold dat een hogere fokwaarde voor specifieke kenmerken samenging met een lagere afvoer voor die kenmerken. Zoals de aanleg voor celgetal samengaat met de afvoer vanwege de uiergezondheid of een lagere melkproductie. Maar voor andere kenmerken gold dat niet of juist het tegendeel. Op basis hiervan zouden we kunnen stellen dat het beter is te fokken op basis van de fokwaarde voor specifieke kenmerken dan op de fokwaarde voor levensduur. Maar het ligt er ook aan wat in de indexen is meegewogen en hoe zwaar. In onderstaande tabel zijn enkele resultaten van het onderzoek weergegeven.
De tabel laat zien hoe groot het aandeel van de afvoerredenen is bij dochters van stieren met een lage, gemiddelde en hoge fokwaarde voor een aantal kenmerken. Bijvoorbeeld: bij de dochters van stieren met een hoge fokwaarde voor levensduur is te zien dat de afvoer vanwege een te lage melkproductie relatief laag is en vanwege de uiergezondheid en klauwgezondheid relatief hoog. Terwijl je het tegendeel zou verwachten. Voor vruchtbaarheid maakt het nauwelijks uit. De verschillen zijn nauwelijks significant, wat wil zeggen dat de fokwaarde levensduur er feitelijk weinig toe doet of zelfs negatief uitwerkt. Bij de fokwaarde voor klauwen en benen geeft een gemiddelde fokwaarde voor levensduur de minste afvoer vanwege klauwproblemen en de hoogste afvoer vanwege vruchtbaarheid. Lang niet bij alle kenmerken blijkt de hoogte van de fokwaarde bepalend te zijn voor het aandeel van de afgevoerde dochters voor dat kenmerk. Er speelt meer mee waar je rekening mee moet houden willen de koeien gezond oud kunnen worden.

De spanning tussen levensduur en productie
Een hoge productie en een lange levensduur blijken lastig samen te gaan. Weliswaar is een goede productie reden om een koe zo lang mogelijk aan te houden, maar de negatieve energiebalans (NEB) bij een hogere productie geeft zogenaamde metabole stress, met negatieve gevolgen voor gezondheid, vruchtbaarheid en levensduur. Hoe hoger de productie hoe groter gemiddeld gesproken de metabole stress. Zijn een hoge productie en een lange levensduur toch te combineren?
Metabole stress
In de transitieperiode hebben koeien te maken met sterke metabole veranderingen. De zogenaamde metabole stress kan daar een gevolg van zijn. De koe is dan niet in staat voldoende in te spelen op die veranderingen en krijgt daardoor allerlei problemen zoals stofwisselingsziekten, problemen met vruchtbaarheid, uiergezondheid en klauwen. Metabole stress bij hoogproductieve koeien wordt mede veroorzaakt door het feit dat de stofwisseling voorrang geeft aan de melkproductie en niet aan de gezondheid en het welzijn van de koe. Hoe hoger de productie hoe moeilijker het voor de koe wordt. Als een koe wel redelijk in staat is zich aan te passen en meer prioriteit geeft aan de eigen gezondheid dan wordt wel gezegd dat ze “teveel aan zichzelf denkt”. Aan de andere kant zijn er de koeien die dat niet kunnen en “zichzelf weggeven” wat in de praktijk meer wordt gewaardeerd terwijl dat feitelijk het tegenovergesteld is van wat je wilt, namelijk een gezonde en duurzame veestapel. Het is een genetisch bepaald proces en er zijn duidelijke verschillen tussen de koeien. De ene kan zich snel aanpassen of beter herstellen dan de andere. Het kan dus ook met fokkerij en selectie beïnvloed worden. Met de kenmerken weerbaarheid/weerstand en veerkracht (herstellend vermogen) wordt daar al aan gewerkt. In de praktijk zijn verschillen goed zichtbaar.
Gezondheid en voeding
De gezondheid wordt dus beïnvloed door de wisselwerking tussen de omstandigheden en de genetische aanleg en de mogelijkheid van de koe om zich daaraan aan te passen. In de transitieperiode is de koe extra gevoelig door de relatief lage weerstand. Voor behoud en versterking van een functioneel immuunsysteem is een goede voeding met de juiste energiebronnen en -niveaus en de juiste nutriënten, mineralen en vitamines essentieel. De hoge krachtvoergift bij hoge producties verhoogt het risico op spijsverterings- en stofwisselingsstoornissen. Bovendien bevat krachtvoer veel van de belangrijke mineralen en spoorelementen. Uit onderzoek is duidelijk geworden dat niet alleen de beperkte voeropnamecapaciteit van een koe de grootste risicofactor is, maar ook de sterke voorrang die de melkproductie heeft bij de nutriëntenvoorziening en het onvermogen van de koe om zich fysiologisch voldoende aan te passen.
Vroegrijpheid en afkalfleeftijd
Uit onderzoek komt naar voren dat een langere levensduur het sterkst gecorreleerd is met laatrijpheid. De trend om de afkalfleeftijd verder te verlagen naar minder dan 24 maanden door harder voeren van de kalveren draagt bij aan een vroege volwassenheid. Naarmate meer op productieverhoging en vroeg afkalven wordt aangestuurd zal de levensduur meer onder druk komen te staan. Kijken we als voorbeeld naar de 75-tonners en 100-tonners, dan zien we dat ze doorgaans laatrijp en persistent zijn, een bovengemiddelde lactatiewaarde hebben en de relatief hogere productie ook na de 5e lactatie vaak nog goed volhouden. Ze presteren als jonge koe niet boven hun (metabolisch) kunnen of ze kunnen daar goed mee omgaan.
De haalbaarheid in de praktijk
Dat er in de praktijk onder invloed van de bedrijfsomstandigheden grote verschillen optreden, blijkt wel uit de cijfers van een bedrijf met een gemiddelde leeftijd van de veestapel van 10 maanden boven het landelijk gemiddelde en met een productie van ruim 5.000 kg boven het landelijk gemiddelde. Het is in de praktijk mogelijk een hoge productie te combineren met een bovengemiddelde levensduur. Op dit bedrijf loopt de 305-dagen productie uiteen van ruim 9.400 kg tot ruim 19.000 kg waarbij de hoogst productieve dieren de 8 of 9 lactaties hebben bereikt. Er is sprake van meer balans tussen de factoren die de productie en de levensduur bepalen. Maar of dit bedrijf de gemiddelde leeftijd van vijf lactaties (afvoerleeftijd ca. 10 jaar) zou gaan halen, werd door de eigenaar zelf betwijfeld. In het project Erfbetreders en Levensduur werd een bedrijf bezocht met een gemiddelde productie van 13.700 kg per jaar en een levensproductie bij afvoer van ruim 70.000 kg. Het doel was 100.000 kg bij afvoer. Op beide bedrijven was alles gericht op de gezondheid en vruchtbaarheid van de koeien vanuit zowel de opfok, de fokkerij, met name selectie, de leefomgeving en de bedrijfsvoering.
Invloed van de stierkeuze
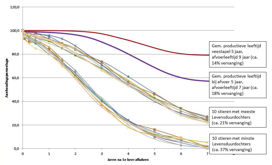
Als we kijken naar de overlevingskans van de dochters van stieren (de aanhoudingscijfers), krijgen we een indruk van de invloed van de stierkeuze. Daarvoor gebruiken we de aanhoudingscijfers van NVO-veeverbetering (2021). Van de 10 stieren met de meeste dochters met een lange levensduur, is na 5 jaar nog 40% van de dochters in productie en na 7 jaar nog ruim 20%. Van de 10 stieren met de minste dochters met een lange levensduur is na 5 jaar nog maar ca. 15% in productie en na 7 jaar ca. 3%. Opvallend bij de stieren met de minste “levensduurdochters” is de grote uitval in de eerste vier jaren. Kennelijk is de stierkeuze van grote invloed op de overlevingskansen van de koeien in de eerste 4 lactaties. De verschillen zijn niet te verklaren door de verschillen in de fokwaarde voor levensduur. En volgens het hiervoor genoemde onderzoek komt de afvoer bij bepaalde kenmerken en de fokwaarden voor die kenmerken vaak niet overeen. Zoals eerder aangegeven omdat er veel meer factoren de levensduur en de levensproductie bepalen. Maar dat zegt niets over individuele koeien die niet op het gemiddelde liggen, maar eronder of erboven.

Wat heeft de leeftijd van de moeder met de leeftijd van de dochter te maken?
Uit een Vlaams onderzoek in 2017 kwam naar voren dat ruim 68% van de 170 onderzochte honderdtonners geboren is uit een pink of vaars. Voor de fokwaarden werd bij de Vlaamse 100-tonners geen bruikbare correlatie met de levensduur gevonden. Valacon heeft in 2018/2019 een onderzoek uitgevoerd met 445 koeien met meer dan 75.000 kg melk levensproductie. 52% van alle 75+ tonners had een pink of vaars als moeder. Dit percentage is lager dan de 68% bij de 100-tonners, maar meer dan de helft van oude koeien met een hoge levensproductie heeft een jonge moeder. Pinken, vaarzen en derdekalfs koeien leverden samen 70% van de 75+-tonners. Ook hier werden geen overtuigende correlaties gevonden met de fokwaarden voor levensduur, laatrijpheid en persistentie.
Eén van de mogelijke oorzaken zou kunnen zijn dat jonge koeien persistenter zijn waardoor ze minder last hebben van een hoge piekproductie. Pinken produceren nog geen melk en vaarzen zijn gemiddeld persistenter. Uit onderzoek is gebleken dat een hoge piekproductie negatieve (epigenetische) effecten kan hebben op de ontwikkeling van de baarmoeder en het embryo en uiteindelijk op de levensduur. De fokwaarde voor persistentie, en daarmee een lagere piekproductie, zou dan om die reden kunnen helpen de kans op een langere levensduur te vergroten. Maar als we kritisch kijken naar de persistentie, dan zien we dat de fokkerij zich daarbij niet zozeer richt op een lagere piekproductie, maar op een vlakkere productiecurve waardoor de piek in verhouding lager is maar in absolute zin toch hoog kan blijven. De totale jaarproductie neemt daarmee toe en dat correleert met een kortere levensduur. Voor vaarzen is het niet alleen van belang dat ze persistent zijn maar ook dat ze niet te vroegrijp zijn waardoor de melkproductie niet te snel oploopt en de vaars tijd voor ontwikkeling heeft. Laatrijpheid heeft dus een vergelijkbaar effect als persistentie. Uit een eerdere analyse van 100-tonners is ook gebleken dat die doorgaans laatrijp zijn, maar wel een bovengemiddelde lactatiewaarde hebben: ze beginnen met gemiddeld 110 LW en eindigen met gemiddeld 105 LW. Bij de 75-tonners is dat 105 LW en 96 LW. Dus kennelijk wordt de kans om een 100-tonner te worden, bepaald door een combinatie van de leeftijd van de moeder. laatrijpheid, persistentie en productie. Een groot deel van de onderzochte 75- en 100-tonners kwam ook uit bepaalde families maar niet is onderzocht wat hen onderscheidt van andere, niet familiaire 75- en 100-tonners? Voor een harde uitspraak is meer duidelijkheid nodig en bovendien gaat het om relatief kleine aantallen koeien. Dus het is voor de gangbare praktijk zeker geen regel, maar je kunt er wel rekening mee houden als de kans zich voordoet.
Enkele kenmerken van 445 koeien met een levensproductie van meer dan 75.000 kg melk (Bron: Valacon 2019).
In de tabel is te zien dat 75-tonners gemiddeld gesproken vooral in de eerste 2 tot 3 lactaties van de moeders worden geboren. Ze hebben als vaars een bovengemiddelde lactatiewaarde en eindigen ook met een relatief hoge lactatiewaarde. Ook de moeders blijken uiteindelijk een relatief hoge leeftijd te bereiken. Op basis van de fokwaarden van de vadersvader en moedersvaders kan niet geconcludeerd worden dat hoge fokwaarden voor levensduur, productie, persistentie en laatrijpheid bepalend zijn voor de levensduur. En toch blijken ze een rol te spelen bij de kans op een lange levensduur en hoge levensproductie. Er spelen dus meerdere factoren een rol bij de kans op een langere levensduur waarmee niet gezegd is dat de invloed van de stier niet belangrijk is. Vanuit het perspectief van het KBL-principe zijn ze allemaal belangrijk.

Tips en aandachtspunten
- Stel eerst je eigen doelen en stem die af op de belangrijkste redenen voor afvoer en op wat je koeien nodig hebben;
- Registreer daarom nauwkeurig de afvoerredenen en de achtergrond daarvan en stem je doelen daarop af;
- De bijdrage vanuit de genetica aan de levensduur kan per kenmerk of eigenschap sterk verschillen. Maak de juiste keuzes op basis van je doelen;
- Maak je doel breed genoeg om te voorkomen dat je te eenzijdig gaat fokken, maar neem niet teveel mee in je doel want dat vertraagt de vooruitgang;
- Stem je doel af op de mogelijkheden om op je bedrijf een goede (economische) balans te vinden tussen levensduur en productie;
- Stem je doelen ook af op je bedrijfstype en de bedrijfsopzet. Alles tezamen bepaalt de mogelijkheden op het bedrijf;
- Onderschat de invloed van de bedrijfsvoering en de leefomgeving niet. Het is zeker niet alleen de stier die het doet;
- Maak bij de stierkeuze en de selectie van je koeien ook gebruik van sterk gecorreleerde kenmerken.
Bronnen:
- Adamczyk, K., et al., 2017. Associations between strain, herd size, age at first calving, culling reason and lifetime performance characteristics in Holstein-Friesian cows
- Adamczyk, K., et al. 2018. Analysis of lifetime performance and culling reasons in black-and-white holstein friesian cows compared with crossbreds
- Bertoni G., A. Minuti and E. Trevisi, 2014. Immune system, inflammation and nutrition in dairy cattle
- Chiumia D. e a., 2011. Predisposing_factors_for_involuntary_culling_in_Holstein-Friesian dairy cows
- Cole, J.B., 2025. Are there too many traits in our selection indices
- Collard B.L. et al., 2000. Relationships between energy balance and health traits of dairy cattle in early lactation. J Dairy Sci. 2000;83:2683-90
- Collier, J. et al.,1981. Influences of Environment and Its Modification on Dairy Animal Health and Production
- CRV publicaties jaarstatistieken 2008 t/m 2020
- Bjelland D.W. et al., 2013. Evaluation of inbreeding depression in Holstein cattle using whole-genome SNP markers and alternative measures of genomic inbreeding
- Hailiang Zhang, H. et al., 2022. Genetic parameters for dairy calf and replacement heifer wellness traits and their association with cow longevity and health indicators in Holstein cattle
- Hoeij, R. van 2017. Metabolic status lactation persistency and udder health of dairy cows after different dry period lengths
- https://veeverbetering.nl/
- Knaus, W. 2009. Dairy cows trapped between performance demands and adaptability
- Knegsel, A. T. M. van al, 2014. Metabolic adaptation during early lactation: key to cow health, longevity and a sustainable dairy production chain
- Kolk A. van der en W. van Laarhoven, 2006. Werken aan duurzaam melkvee. Een aanpak voor het bevorderen van de duurzaamheid van de Nederlandse melkveestapel
- Laarhoven, W. van, 2018. Sturen op levensduur van melkvee. Een verkenning van de mogelijkheden om de motivatie bij melkveehouders voor levensduurverlenging te vergroten
- Lorraine M Sordillo, L.M. and Raphael, 2013. Significance of metabolic stress, lipid mobilization, and inflammation on transition cow disorders
- Manzanilla Pech, C.I.V., et al. 2106. Genetic parameters between feed-intake-related traits and conformation in 2 separate dairy populations—the Netherlands and United States
- Oltenacu, A., et al., 2010. The impact of genetic selection for increased milk yield on the welfare of dairy cows.
- Poppe, M. 2022. Genetic improvement of resilience in dairy cattle.
- Prtichard T. et al., 2013. Understanding the genetics of survival in dairy cows
- Smid, A.M.C. et al., 2019. Dairy cow preference for access to an outdoor pack in summer and winter.
- Vollema, A.R., 1997. Genetic Correlations Between Longevity and Conformation
- Vollema, A.R. 1998. Selection for longevity in dairy cattle
- Zijlstra, J. en M. de Boer, 2013. Verschillen tussen bedrijven in levensduur van melkkoeien
